Giải SBT bài 10: Đồ thị quãng đường - thời gian
10.1. Bảng dưới đây mô tả chuyển động của một ô tô trong 4 h.

Hình vẽ nào sau đây biểu diễn đúng đồ thị quãng đường - thời gian của chuyển động trên?

Trả lời:
- D
=> Đồ thị quãng đường – thời gian của chuyển động thẳng là một đường thẳng nằm nghiêng.
10.2. Hình 10.1 là đồ thị quãng đường - thời gian của một vật chuyển động. Dựa vào hình vẽ, hãy kiểm tra các thông tin sau đây là đúng hay sai.

a) Tốc độ của vật là 2 m/s.
b) Sau 2 s, vật đi được 4 m.
c) Từ giây thứ 4 đến giây thứ ó, vật đi được 12 m.
d) Thời gian để vật đi được 8 m là 4 s.
10.3. Lúc 1 h sáng, một đoàn tàu hoả chạy từ ga A đến ga B với tốc độ 60 km/h, đến ga B lúc 2 h và dừng ở ga B 15 min. Sau đó, đoàn tàu tiếp tục chạy với tốc độ cũ thì đến ga C lúc 3 h 15 min. Hình vẽ nào sau đây biểu diễn đúng đồ thị quãng đường - thời gian của đoàn tàu nói trên?


10.4. Minh và Nam đi xe đạp trên một đoạn đường thẳng. Trên Hình 10.2, đoạn thẳng OM là đồ thị quãng đường - thời gian của Minh, đoạn thẳng ON là đồ thị quãng đường - thời gian của Nam. Mô tả nào sau đây không đúng?
A. Minh và Nam xuất phát cùng một lúc.
B. Tốc độ của Minh lớn hơn tốc độ của Nam.
C. Quãng đường Minh đi ngắn hơn quãng đường Nam đi.
D. Thời gian đạp xe của Nam nhiều hơn thời gian đạp xe của Minh.
10.5. Đồ thị quãng đường - thời gian ở Hình 10.3 mô tả chuyển động của các vật 1, 2, 3 có tốc độ tương ứng là vị, Vạ, va, cho thấy

A.V1 =V2=V3
B.V1>V2 >V3.
C.V1<V2<V3
D.V1 =V2>V3
10.6. Hình 10.4 là đồ thị quãng đường - thời gian của một chuyển động. Hãy dựa vào đồ thị, viết một để bài tập có 3 câu hỏi rồi giải.

10.7. Hình 10.5 là đồ thị quãng đường - thời gian của một người đổi xe đạp và một người đi mô tô. Biết mô tô chuyển động nhanh hơn xe đạp.

a) Đường biểu diễn nào ứng với chuyển động của xe đạp?
b) Tính tốc độ của mỗi chuyển động.
c) Sau bao lâu thì hai xe gặp nhau?
10.8. Một người đi xe đạp, sau khi đi được 8 km với tốc độ 12 km/h thì dừng lại để sửa xe trong 40 min, sau đó đi tiếp 12 km với tốc độ 9 km/h.
a) Vẽ đồ thị quãng đường - thời gian của người đi xe đạp.
b) Xác định tốc độ của người đi xe đạp trên cả quãng đường.
10.9*. Một mô tô chuyển động trên quãng đường s km. Trong nửa thời gian đầu t;, mô tô chuyển động với tốc độ v1 = 40 km/h; trong nửa thời gian còn lại tạ, mô tô chuyển động với tốc độ v2 = 60 km/h.
a) Vẽ đổ thị quãng đường - thời gian của mô tô.
b) Xác định tốc độ v của mô tô trên cả quãng đường.
c) Hãy so sánh các giá trị v, v1, v2 và tìm biểu thức tổng quát về mối liên hệ giữa V, V1, V2
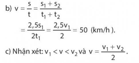
10.10*. Một mô tô chuyển động trên quãng đường s km. Trong nửa quãng đường đầu s1, mô tô chuyển động với tốc độ vị = 60 km/h, nửa quãng đường còn lại s2, mô tô chuyển động với tốc độ v2 = 40 km/h.
a) Vẽ đồ thị quãng đường - thời gian của mô tô.
b) Xác định tốc độ v của mô tô trên cả quãng đường.
c) Hãy so sánh các giá trị v, v1, v2 và tìm biểu thức tổng quát về mối liên hệ giữa v, v1, v2




