Giải Khoa học tự nhiên 9 Kết nối bài 5: Khúc xạ ánh sáng
Khởi động: Tại sao khi trong cốc không có nước thì ta không thể nhìn thấy đồng xu (hình a), còn nếu vẫn giữ nguyên vị trí đặt mắt và cốc nhưng rót nước vào cốc thì ta lại nhìn thấy đồng xu (hình b)?

I. HIỆN TƯỢNG KHÚC XẠ ÁNH SÁNG
Hoạt động: Thí nghiệm 1: Tìm hiểu hiện tượng khúc xạ ánh sáng
Chuẩn bị:

- Một bảng thí nghiệm có gắn tấm nhựa in vòng tròn chia độ;
- Một bản bán trụ bằng thủy tinh;
- Đèn 12 V – 21W có khe cài bản chắn sáng;
- Nguồn điện (biến áp nguồn).
Tiến hành:
- Bố trí thí nghiệm như Hình 5.1.
- Chiếu một chùm sáng tới SI (điểm tới I là tâm của bản bán trụ).
- Quan sát đường đi của chùm sáng.
Trả lời câu hỏi sau:
Chùm sáng truyền từ không khí vào thủy tinh bị gãy khúc (lệch khỏi phương truyền) tại đâu?
Câu hỏi: Một tia sáng truyền tới mặt nước tạo ra một tia phản xạ và một tia khúc xạ (Hình 5.3) hãy vẽ vào vở và bổ sung chiều mũi tên của các tia sáng.

II. ĐỊNH LUẬT KHÚC XẠ ÁNH SÁNG
Hoạt động: Thí nghiệm 2: Tìm mối liên hệ giữa góc khúc xạ và góc tới
Chuẩn bị:

Dụng cụ nghiên cứu như thí nghiệm 1.
Tiến hành:
- Bố trí thí nghiệm như Hình 5.1.
- Chiếu tia sáng đến mặt phân cách tại điểm tới I (tâm của đường tròn chia độ) lần lượt với góc 0o, 20o, 40o, 60o, 80o.
- Đọc giá trị của góc khúc xạ tương ứng và hoàn thành vào vở theo mẫu tương tự Bảng 5.1.
Trả lời câu hỏi và thực hiện các yêu cầu sau:
1. Tia khúc xạ nằm ở phía nào của pháp tuyến so với tia tới?
2. So sánh độ lớn góc tới và góc khúc xạ.
3. Nhận xét tỉ số giữa sin góc tới i và sin góc khúc xạ r.
Hoạt động: Thí nghiệm 3: Khảo sát phương của tia khúc xạ

Chuẩn bị:
- Bản bán trụ bằng thủy tinh trong suốt;
- Một tấm xốp mỏng có gắn bản chia độ;
- Bốn chiếc đinh ghim giống nhau;
- Một tấm nhựa phẳng.
Tiến hành:
- Bố trí thí nghiệm như Hình 5.4.
- Cắm đinh ghim tại O và A để xác định pháp tuyến OA.
- Cắm đinh ghim ở B để xác định tia tới là BO.
Lưu ý: Để các đinh ghim ở O, A, B sao cho mũ đinh có chiều cao bằng
bề dày bản bán trụ thủy tinh. Khi đó mặt phẳng tới đi qua ba đầu đinh ghim O, A, B song song với tấm xốp.
- Đặt mắt để nhìn vào mặt phẳng của bản bán trụ sao cho đầu mũ đinh ghim ở O che khuất ảnh đầu mũ đinh ghim ở B.
- Cắm đinh ghim ở C trên đường truyền sáng của O tới mắt sao cho đầu mũ đinh ghim ở C che khuất ảnh đầu đinh ghim ở B và O. Khi đó tia khúc xạ sẽ là OC.
- Bỏ bản bán trụ thủy tinh ra, dùng tấm nhựa phẳng để kiểm tra các tia BO, OA, OC có đồng phẳng hay không?
Trả lời câu hỏi sau:
Kết quả thí nghiệm cho thấy tia khúc xạ nằm trong mặt phẳng nào?
Câu hỏi 1: Hình 5.5 mô tả hiện tượng khúc xạ khi tia sáng truyền từ môi trường nước ra không khí. Chỉ ra điểm tới, tia tới, tia khúc xạ, vẽ pháp tuyến tại điểm tới. So sánh độ lớn của góc khúc xạ và góc tới.

Câu hỏi 2: Quan sát đường truyền của tia sáng trong hình 5.6, vận dụng kiến thức đã học để trả lời câu hỏi mở bài.

III. CHIẾT SUẤT CỦA MÔI TRƯỜNG
Câu hỏi 1: Khi một môi trường đi từ môi trường này sang môi trường khác, chiết suất tỉ đối của hai môi trường cho ta biết điều gì về đường đi của tia sáng đó?
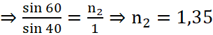
Câu hỏi 2: Tính chiết suất của nước. Biết tia sáng truyền từ không khí với góc tới i = 60o thì góc khúc xạ trong nước r = 40o.

