Siêu nhanh giải bài 9 Khoa học tự nhiên 9 Kết nối tri thức
BÀI 9. THỰC HÀNH ĐO TIÊU CỰ CỦA THẤU KÍNH HỘI TỤ
Khởi động: Ta đã biết, khi chiếu chùm sáng song song với trục chính của một thấu kính hội tụ thì chùm tia ló sẽ đi qua tiêu điểm chính của thấu kính. Vậy để đo tiêu cự của thấu kính hội tụ có thể dùng phương án đo trực tiếp khoảng cách từ quang tâm O tới tiêu điểm chính F hay không? Cách đo này có nhược điểm gì?

Giải rút gọn:
Có thể dùng phương án đo trực tiếp, nhược điểm là khó đo khoảng cách lớn.
I. CHUẨN BỊ
Hoạt động: Dựng ảnh của một vật AB có độ cao h, đặt vuông góc với trục chính của thấu kính hội tụ và cách thấu kính một khoảng d = 2f (f là tiêu cự của thấu kính).
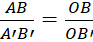
1. Dựa vào hình vẽ để chứng minh rằng trong trường hợp này, khoảng cách từ ảnh đến thấu kính và khoảng cách từ vật đến thấu kính bằng nhau.
2. Ảnh này có kích thước như thế nào so với vật?
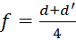
3. Chứng minh công thức tiêu cự trong trường hợp này: ![]()
Trong đó, d’ là khoảng cách từ ảnh của vật đến thấu kính.
Giải rút gọn:
1.

Xét
OHF’ và
B’A’F’ ta có:
(hai góc đối đỉnh)
(= 90o)
OHF’ đồng dạng với
B’A’F’.
(1)
Xét
ABO và
A’B’O ta có:
(hai góc đối đỉnh)
(= 90o)
ABO đồng dạng với
A’B’O.
mà AB = OH
(2)
Từ (1) và (2) ![]()
Ta có: 2OF = 2OF’ = OB
OB’ = OB
Vậy khoảng cách từ ảnh đến thấu kính và khoảng cách từ vật đến thấu kính bằng nhau.
2. Ảnh này có kích thước bằng với vật.
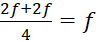
3. Ta có d = 2f, d’ = 2f (cmt)
VP =
= VT (đpcm).