Siêu nhanh giải bài 10 Khoa học tự nhiên 9 Kết nối tri thức
BÀI 10. KÍNH LÚP. BÀI TẬP THẤU KÍNH
Khởi động: Tại sao người thợ sửa đồng hồ lại phải sử dụng kính lúp khi làm việc?
Giải rút gọn:
Vì bên trong đồng hồ do rất nhiều chi tiết nhỏ tạo thành.
I. CẤU TẠO KÍNH LÚP
Câu hỏi 1: Trả lời câu hỏi phần mở bài.
Giải rút gọn:
Vì bên trong đồng hồ do rất nhiều chi tiết nhỏ tạo thành.
Câu hỏi 2: Nêu một số ứng dụng của kính lúp trong cuộc sống.
Giải rút gọn:
Ứng dụng: công cụ của các chuyên gia trinh thám quan sát dấu vết, dùng trong sửa chữa đồng hồ, xem kim cương đá quý, xem đồ cổ,…
II. CÁCH QUAN SÁT MỘT VẬT NHỎ QUA KÍNH LÚP
Hoạt động 1: Để quan sát được ảnh kính lúp, ta phải đặt vật trong khoảng nào trước kính?
Giải rút gọn:
Ta phải đặt vật trong khoảng tiêu cự của kính.
Hoạt động 2: Vẽ ảnh của vật qua kính lúp khi ngắm chừng ở cận cực.
Giải rút gọn:
Khi ngắm chừng ở cận cực, điểm A’ trùng với điểm cận cực.

III. VẼ SƠ ĐỒ TẠO ẢNH QUA THẤU KÍNH HỘI TỤ
Hoạt động: Một vật AB cao 2 cm được đặt vuông góc với trục chính của một thấu kính hội tụ và cách thấy kính một khoảng 7,5 cm, A nằm trên trục chính. Thấu kính có tiêu cự là 5 cm.
a) Sử dụng giấy kẻ ô và vẽ ảnh của vật AB qua thấu kính theo tỉ lệ 1 cạnh của ô vuông tương ứng với 1 cm như Hình 10.6.
b) Xác định vị trí và đặc điểm của ảnh (ảnh thật hay ảnh ảo, cùng chiều hay ngược chiều với vật).

Giải rút gọn:
a)

b)
Vị trí: Ảnh nằm khác phía so với vật và cách thấu kính một khoảng là d’=15 cm.
Đặc điểm: Ảnh là ảnh thật, nằm ngược chiều so với vật.
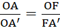
Câu hỏi: Vật AB có độ cao h = 3 cm được đặt vuông góc trước môt thấu kính hội tụ có tiêu cự f = 5 cm, điểm A nằm trên trục chính và cách thấu kính một khoảng d = 2f.
a) Dựng ảnh A’B’ của AB tạo bởi thấu kính hội tụ theo đúng tỉ lệ.
b) Vận dụng kiến thức hình học tính chiều cao của ảnh (h’) và khoảng cách từ ảnh tới quang tâm (d’).
Giải rút gọn:
a) Sơ đồ tạo ảnh:

b)
Xét tam giác OAB và OA’B’ có:


=>
=> ![]()
=> ![]()
Xét tam giác OFI và A’FB’ có:


=>
=> ![]()
Từ (1) và (2), ta có:
hay ![]()
=> F là trung điểm của OA’ => OA’ = d’ = 2OF = 2f = 10cm
Mà ![]()