SÁCH GIÁO KHOA
1. PHƯƠNG PHÁP THẾ
Giải chi tiết Hoạt động 1 trang 11 sgk toán 9 tập 1 kết nối tri thức với cuộc sống
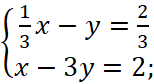
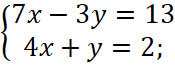
Cho hệ phương trình
Giải hệ phương trình theo hướng dẫn sau:
1. Từ phương trình thứ nhất, biểu diễn y theo x rồi thế vào phương tnfh thứ hai để được một phương trình mới với một ẩn x. Giải phương trình một ẩn đó để tìm giá trị của x.
2. Sử dụng giá trị tìm được của x để tìm giá trị của y rồi viết nghiệm của hệ phương trình đã cho.
Giải chi tiết Luyện tập 1 trang 12 sgk toán 9 tập 1 kết nối tri thức với cuộc sống
Giải các hệ phương trình sau bằng phương pháp thế:
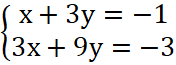
a)
b) ![]()
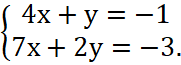
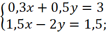
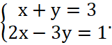
Giải chi tiết Luyện tập 2 trang 12 sgk toán 9 tập 1 kết nối tri thức với cuộc sống
Giải hệ phương trình
bằng phương pháp thế.
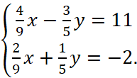
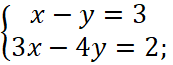
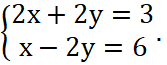
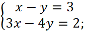
Giải chi tiết Luyện tập 3 trang 12 sgk toán 9 tập 1 kết nối tri thức với cuộc sống
Giải hệ phương trình
bằng phương pháp thế.
Giải chi tiết Vận dụng 1 trang 12 sgk toán 9 tập 1 kết nối tri thức với cuộc sống
Xét bài toán trong tình huống mở đầu. Gọi x là số luống trong vườn, y là số cây cải bắp trồng ở mỗi luống (x, y
.
a) Lập hệ phương trình đối với hai ẩn x, y.
b) Giải hệ phương trình nhận được ở câu a để tìm câu trả lời cho bài toán.
2. PHƯƠNG PHÁP CỘNG ĐẠI SỐ
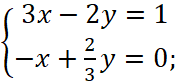
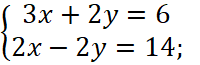
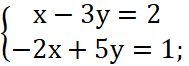
Giải chi tiết Hoạt động 2 trang 13 sgk toán 9 tập 1 kết nối tri thức với cuộc sống
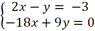
Cho hệ phương trình
Ta thấy hệ số của y trong hai phương trình là hai số đối nhau (tổng của chúng bằng 0). Từ đặc điểm đó, hãy giải hệ phương trình đã cho theo hướng dẫn sau:
1. Cộng từng vế của hai phương trình trong hệ để được phương trình một ẩn x. Giải phương trình này để tìm x.
2. Sử dụng giá trị x tìm được, thay vào một trong hai phương trình của hệ để tìm giá trị của y rồi viết nghiệm của hệ phương trình đã cho.
Giải chi tiết Luyện tập 4 trang 14 sgk toán 9 tập 1 kết nối tri thức với cuộc sống
Giải các hệ phương trình sau bằng phương pháp cộng đại số
a)
b) ![]()
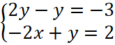
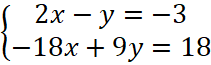
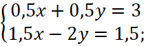
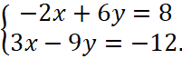
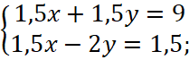
Giải chi tiết Luyện tập 5 trang 14 sgk toán 9 tập 1 kết nối tri thức với cuộc sống
Giải hệ phương trình
bằng phương pháp cộng đại số.
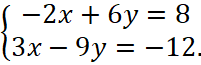
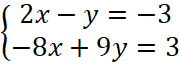
Giải chi tiết Luyện tập 6 trang 14 sgk toán 9 tập 1 kết nối tri thức với cuộc sống
Bằng phương pháp cộng đại số, giải hệ phương trình ![]()
3. SỬ DỤNG MÁY TÍNH CẦM TAY ĐỂ TÌM NGHIỆM CỦA HỆ HAI PHƯƠNG TRÌNH BẬC NHẤT HAI ẨN
Giải chi tiết Thực hành trang 15 sgk toán 9 tập 1 kết nối tri thức với cuộc sống
Dùng MTCT thích hợp để tìm nghiệm của các hệ phương trình sau:
a) ![]()
b) ![]()
c) ![]()
Giải chi tiết Vận dụng 2 trang 16 sgk toán 9 tập 1 kết nối tri thức với cuộc sống
Thực hiện lần lượt các yêu cầu sau để tính số mililít dung dịch acid HCl nồng độ 20% và số mililít dung dịch acid HCl nồng độ 5% cần dùng để pha chế 2 lít dung dịch acid HCl nồng độ 10%.
a) Gọi x là số mililít dung dịch HCl nồng độ 20%, y là số mililít dung dịch HCl nồng độ 5% cần lấy. Hãy biểu thị qua x và y:
- Thể tích của dung dịch HCl 10% nhận được sau khi trộn lẫn hai dung dịch acid ban đầu.
- Tổng số gam acid HCl nguyên chất có trong hai dung dịch acid này.
b) Sử dụng kết quả ở câu a, hãy lập một hệ hai phương trình bậc nhất hai ẩn là x, y. Giải hệ phương trình này để tính số mililít cần lấy của mỗi dung dịch HCl ở trên.
4. GIẢI BÀI TẬP CUỐI SGK
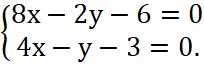
Giải chi tiết bài 1.6 trang 16 sgk toán 9 tập 1 kết nối tri thức với cuộc sống
Giải các hệ phương trình sau bằng phương pháp thế:
a)
b)
c) ![]()
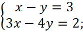
Giải chi tiết bài 1.7 trang 16 sgk toán 9 tập 1 kết nối tri thức với cuộc sống
Giải các hệ phương trình sau bằng phương pháp cộng đại số:
a)
b)
c) ![]()
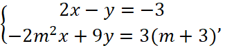
Giải chi tiết bài 1.8 trang 16 sgk toán 9 tập 1 kết nối tri thức với cuộc sống
Cho hệ phương trình
trong đó m là số đã cho. Giải hệ phương trình trong mỗi trường hợp sau:
a) m = -2; b) m = -3; c) m = 3.
Giải chi tiết bài 1.9 trang 16 sgk toán 9 tập 1 kết nối tri thức với cuộc sống
Dùng MTCT thích hợp để tìm nghiệm của các hệ phương trình sau:
a) ![]()
b) 
c) 
d) 