Chuyển tới nội dung chính
Học và thi Online miễn phí
  • Lịch
  • THI ONLINE
    Môn Toán Lớp 6 Môn Toán Lớp 7 Môn Toán Lớp 8 Môn Toán Lớp 9
  • Toán THCS
    Môn Toán Lớp 6 Môn Toán Lớp 7 Môn Toán Lớp 8 Môn Toán Lớp 9
  • Toán nâng cao
    Nâng cao Toán 6 Nâng cao Toán 7 Nâng cao Toán 8 Nâng cao Toán 9
  • ÔN TOÁN VIOEDU
    Ôn Toán 2 Ôn Toán 3 Ôn Toán 4 Ôn Toán 5 Ôn Toán 6 Ôn Toán 7 Ôn Toán 8 ÔnToán 9
  • BXH
  • Xem thêm
Bạn đang truy cập với tư cách khách vãng lai
Đăng nhập
Học và thi Online miễn phí
Lịch THI ONLINE Rút gọn Mở rộng
Môn Toán Lớp 6 Môn Toán Lớp 7 Môn Toán Lớp 8 Môn Toán Lớp 9
Toán THCS Rút gọn Mở rộng
Môn Toán Lớp 6 Môn Toán Lớp 7 Môn Toán Lớp 8 Môn Toán Lớp 9
Toán nâng cao Rút gọn Mở rộng
Nâng cao Toán 6 Nâng cao Toán 7 Nâng cao Toán 8 Nâng cao Toán 9
ÔN TOÁN VIOEDU Rút gọn Mở rộng
Ôn Toán 2 Ôn Toán 3 Ôn Toán 4 Ôn Toán 5 Ôn Toán 6 Ôn Toán 7 Ôn Toán 8 ÔnToán 9
BXH
t9knttchuong1Luyentapchung
Mở rộng tất cả Thu gọn toàn bộ

SÁCH GIÁO KHOA

0%
  1. Trang chủ
  2. Giải Toán 9 Kết nối chương 1 Luyện tập chung
  3. Chung
  4. SÁCH GIÁO KHOA
Các yêu cầu hoàn thành

Giải chi tiết bài 1.10 trang 20 sgk toán 9 tập 1 kết nối tri thức với cuộc sống

Cho hai phương trình:

-2x + 5y = 7;  (1)

4x – 3y = 7     (2)

Trong các cặp số (2; 0), (1; -1), (-1; 1), (-1; 6), (4; 3) và (-2; 5), cặp số nào là:

a) Nghiệm của phương trình (1)?

b) Nghiệm của phương trình (2)?

c) Nghiệm của hệ gồm phương trình (1) và phương trình (2)?

a) Thay x = 2; y = 0 vào phương trình (1) ta có -2.2 + 5.0 = 7 (vô lí) 

nên (2; 0) không là nghiệm của phương trình (1).

Thay x = 1; y = -1 vào phương trình (1) ta có -2.1 + 5.(-1) = 7 (vô lí) 

nên (1; -1) không là nghiệm của phương trình (1).

Thay x = -1; y = 1 vào phương trình (1) ta có -2.(-1) + 5.1 = 7 (vô lí) 

nên (-1; 1) không là nghiệm của phương trình (1).

Thay x = -1; y = 6 vào phương trình (1) ta có -2.(-1) + 5.6 = 7 (vô lí) 

nên (-1; 6) không là nghiệm của phương trình (1).

Thay x = 4; y = 3 vào phương trình (1) ta có -2.4 + 5.3 = 7 (luôn đúng) 

nên (4; 3) là nghiệm của phương trình (1)

Thay x = -2; y = -5 vào phương trình (1) ta có -2.(-2) + 5.(-5) = 7 (vô lí) 

nên (-2; -5) không là nghiệm của phương trình (1).

Vậy (-1; 1), (4; 3) là nghiệm của phương trình (1).

b) Thay x = 2; y = 0 vào phương trình (2) ta có 4.2 – 3.0 = 7 (vô lí) 

nên (2; 0) không là nghiệm của phương trình (2).

Thay x = 1; y = -1 vào phương trình (2) ta có 4.1 – 3.(-1) = 7 (luôn đúng) 

nên (1; -1) là nghiệm của phương trình (2).

Thay x = -1; y = 1 vào phương trình (2) ta có 4.(-1) -3.1 = 7 (vô lí) 

nên (-1; 1) không là nghiệm của phương trìn (2).

Thay x = -1; y =6 vào phương trình (2) ta có 4.(-1) – 3.6 = 7 (vô lí) 

nên (-1; 6) không là nghiệm của phương trình (2).

Thay x = 4; y = 3 vào phương trình (2) ta có 4.4 – 3.3 = 7 (luôn đúng) 

nên (4; 3) là nghiệm của phương trình (2).

Thay x = -2; y = -5 vào phương trình (2) ta có 4.(-2) – 3.(-5) = 7 (luôn đúng) nên (-2; -5) là nghiệm của phương trình (2).

Vậy (1; -1), (4; 3); (-2; -5) là nghiệm của phương trình (2).

c) Ta có (4; 3) là nghiệm của phương trình (1) và phương trình (2).

Giải chi tiết bài 1.11 trang 20 sgk toán 9 tập 1 kết nối tri thức với cuộc sống

Giải các hệ phương trình sau bằng phương pháp thế:

a)       b)  c)

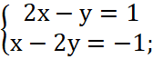
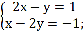
a)       

Từ phương trình đầu ta có y = 2x – 1 thay vào phương trình thứ hai ta được

x – 2(2x – 1) = -1 suy ra -3x + 2 = -1 nên x = 1. Với x = 1 ta có y = 2.1 – 1 = 1.

Vậy nghiệm của hệ phương trình là (1; 1)

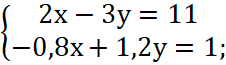
b)

Từ phương trình đầu ta có 0,5x = 0,5 + 0,5y suy ra x = 1 + y thay vào phương trình thứ hai ta được 1,2(1 + y) – 1,2y = 1,2 suy ra 1,2 + 0y = 1,2 nên 0y = 0 (luôn đúng) với y tùy ý. Vậy hệ phương trình có nghiệm (1 + y; y) với y

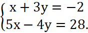
c)

Từ phương trình đầu ta có x = -2 – 2y thay vào phương trình thứ hai ta được 5(-2-3y) – 4y = 28 suy ra -10 – 19y = 28 nên y = -2. 

Với y = -2 ta có x = -2 – 3(-2) = 4.

Vậy nghiệm của hệ phương trình là (4; 2).

Giải chi tiết bài 1.12 trang 20 sgk toán 9 tập 1 kết nối tri thức với cuộc sống

Giải các hệ phương trình sau bằng phươg pháp cộng đại số:

a)     b)     c)

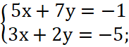
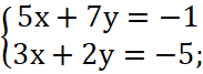
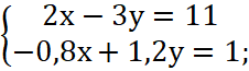
a)     

Nhân cả hai vế của phương trình đầu với 2 ta được 10x + 14y = -2, nhân cả hai vế của phương trình (2) với 7 ta được 21x + 14y = -35.

Vậy hệ phương trình đã cho trở thành

Trừ từng vế của hai phương trình ta được (10x + 14y) –(21x + 14y) = -2 – (-35) suy ra -11x = 33 nên x = -3.

Thay x = -3 vào phương trình thứ hai ta có 3.(-3) + 2y = -5 nên y = 2.

Vậy hệ phương trình có nghiệm (-3; 2).

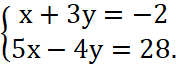
b)

Nhân cả hai vế của phương trình đầu với 4 ta được 8x – 12y = 44 nhân cả hai vế của phương trình (2) với 10 ta được -8x + 12y = 10

Vậy hệ phương trình đã cho trở thành

Cộng từng vế của hai phương trình ta được (8x – 12y) – (-8x+12y) = 44 + 10 suy ra 0x + 0y = 54 (vô lí).

Phương trình đã cho không có giá trị nào của x và y thỏa mãn hệ phương trình đã cho vô nghiệm.

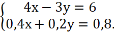
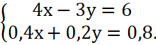
c)

Nhân cả hai vế của phương trình thứ hai với 10 ta được 4x + 2y = 9, hệ phương trình đã cho trở thành

Trừ từng vế của hai phương trình ta được (4x – 3y) – (4x + 2y) = 6 – 8 suy ra -5y = -2 nên y =

Thay y = vào phương trình đầu ta có 4x – 3.

Vậy hệ phương trình có nghiệm

Giải chi tiết bài 1.13 trang 20 sgk toán 9 tập 1 kết nối tri thức với cuộc sống

Tìm các hệ số x, y tong phản ứng hóa học đã được cân bằng sau:

4Al + xO2 Al2O3

Số nguyên từ Al và O ở cả hai vế của phản ứng cân bằng với nhau nên hệ phương trình có được là:

Với y = 2 thay vào phương trình thứ 2 ta có 2x = 3.2 nên x =3. Vậy x = 3; y = 2.

Giải chi tiết bài 1.14 trang 20 sgk toán 9 tập 1 kết nối tri thức với cuộc sống

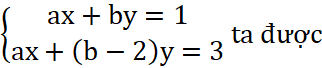
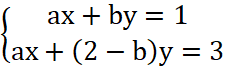
Tìm a và b sao cho hệ phương trình có nghiệm là (1; -2).

Thay x = 1; y = -2 vào hệ

Trừ hai vế của phương trình ta được 0a + 0b = 2 (vô lí)

Phương trình này không có giá trị nào của a và b thỏa mãn nên hệ phương trình (1) vô nghiệm.

Vậy không có giá trị nào của a và b để hệ phương trình có nghiệm là (1; -2).

Bài học này chưa được mở.
Previous activity
External links
  • Link a
  • Link b
  • Link c
External links
  • Link a
  • Link b
  • Link c
Bạn đang truy cập với tư cách khách vãng lai (Đăng nhập)
Được cung cấp bởi Moodle