SÁCH GIÁO KHOA
Giải chi tiết Hoạt động 1 trang 21 sgk toán 9 tập 1 kết nối tri thức với cuộc sống
Biểu thị khối lượng của vật qua x và y.
Giải chi tiết Hoạt động 2 trang 21 sgk toán 9 tập 1 kết nối tri thức với cuộc sống
Biểu thị thể tích của vật qua x và y.
Giải chi tiết Hoạt động 3 trang 21 sgk toán 9 tập 1 kết nối tri thức với cuộc sống
Giải hệ gồm hai phương trình bậc nhất hai ẩn x, y nhận được ở HĐ1 và HĐ2. Từ đó trả lời câu hỏi ở tình huống mở đầu.
Giải chi tiết Luyện tập 1 trang 22 sgk toán 9 tập 1 kết nối tri thức với cuộc sống
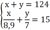
Một chiếc xe khách đi từ Thành phố Hồ Chí Minh đến Cần Thơ, quãng đường dài 170 km. Sau khi xe khách xuất phát 1 giờ 40 phút, một chiếc xe tải bắt đầu đi từ Cần Thơ về Thành phố Hồ Chí Minh và gặp xe khách sau đó 40 phút. Tính vận tốc của mỗi xe, biết rằng mỗi giờ xe khách đi nhanh hơn xe tải 15 km.
Hướng dẫn. Gọi x (km/h) là vận tốc của xe tải và y (km/h) là vận tốc xe khách (x, y > 0). Chú ý rằng hai xe (đi ngược chiều) gặp nhau khi tổng quãng đường hai xe đã đi bằng 170 km.
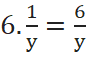
Giải chi tiết Luyện tập 2 trang 23 sgk toán 9 tập 1 kết nối tri thức với cuộc sống
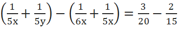
Nếu hai vòi nước cùng chảy vào một bể không có nước thì bể sẽ đầy trong 1 giờ 20 phút. Nếu mở riêng vòi thứ nhất trong 10 phút và vòi thứ hai trong 12 phút thì chỉ được
bể nước. Hỏi nếu mở riêng từng vòi thì thời gian để mỗi vòi chảy đầy bể nước là bao nhiêu phút?
GIẢI BÀI TẬP CUỐI SGK
Giải chi tiết bài 1.15 trang 23 sgk toán 9 tập 1 kết nối tri thức với cuộc sống
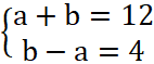
Tìm số tự nhiên N có hai chữ số, biết rằng tổng của hai chữ số đó bằng 12, và nếu viết hai chữ số đó theo thứ tự ngược lại thì được một số lớn hơn N 36 đơn vị.
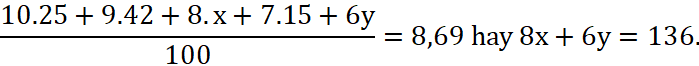
Giải chi tiết bài 1.16 trang 23 sgk toán 9 tập 1 kết nối tri thức với cuộc sống
Điểm số trung bình của một vận động viên bắn súng sau 100 lần bắn là 8,69 điểm. Kết quả cụ thể được ghi trong bảng sau, trong đó có hai ô bị mờ không đọc được (đánh dấu “?”):

Em hãy tìm lại các số bị mờ trong hai ô đó.
Giải chi tiết bài 1.17 trang 23 sgk toán 9 tập 1 kết nối tri thức với cuộc sống.
Năm ngoái, hai đơn vị sản suất nông nghiệp thu hoạch được 3 600 tấn thóc. Năm nay, hai đơn vị thu hoạch được 4 095 tấn thóc. Hỏi năm nay, mỗi đơn vị thu hoặc được bao nhiêu tấn tóc, biết bằng năm nay, đơn vị thứ nhất làm vượt mức 15%, đơn vị thứ hai làm vượt mức 12% so với năm ngoái?
Hãy dùng máy tính cầm tay để kiểm tra lại kết quả thu được.
Giải chi tiết bài 1.18 trang 23 sgk toán 9 tập 1 kết nối tri thức với cuộc sống.
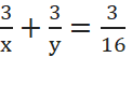
Hai người thợ cùng làm một công việc trong 16 giờ thì xong. Nếu người thứ nhất làm trong 3 giờ và người thứ hai làm trong 6 giờ thì chỉ hoàn thành được 25% công việc. Hỏi nếu làm riêng thì mỗi người hoàn thành công việc trong bao lâu?



























