SÁCH GIÁO KHOA
1. PHƯƠNG TRÌNH TÍCH
Giải chi tiết Hoạt động 1 trang 27 sgk toán 9 tập 1 kết nối tri thức với cuộc sống
Phân tích đa thức P(x) = (x+1)(2x-1) + (x+1)x thành nhân tử
Giải chi tiết Hoạt động 2 trang 27 sgk toán 9 tập 1 kết nối tri thức với cuộc sống
Giải phương trình P(x) = 0
Giải chi tiết Luyện tập 1 trang 28 sgk toán 9 tập 1 kết nối tri thức với cuộc sống
Giải các phương trình sau:
a) (3x + 1)(2 – 4x) = 0;
b) ![]()
Giải chi tiết Vận dụng trang 28 sgk toán 9 tập 1 kết nối tri thức với cuộc sống
Giải bài toán ở tình huống mở đầu:
2. PHƯƠNG TRÌNH CHỨA ẨN Ở MẪU
Giải chi tiết Hoạt động 3 trang 28 sgk toán 9 tập 1 kết nối tri thức với cuộc sống
Chuyển các biểu thức chứa ẩn từ vế phải sang vế trái, rồi thu gọn vế trái.
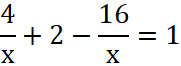
Giải chi tiết Hoạt động 4 trang 28 sgk toán 9 tập 1 kết nối tri thức với cuộc sống.
Giá trị x = -1 có là nghiệm của phương trình đã cho hay không? Vì sao?
Khi giải phương trình chứa ẩn ở mẫu, ta phải chú ý đến điều kiện xác định của phương trình đó. Chẳng hạn, đối với phương trình trên, để phương trình xác định thì x + 1 ![]()
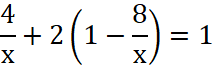
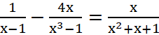
Giải chi tiết Luyện tập 2 trang 28 sgk toán 9 tập 1 kết nối tri thức với cuộc sống
Tìm điều kiện xác định của mỗi phương trình sau:
a)
b) ![]()
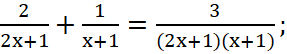
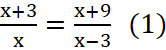
Giải chi tiết Hoạt động 5 trang 29 sgk toán 9 tập 1 kết nối tri thức với cuộc sống
Xét phương trình ![]()
Hãy thực hiện các yêu cầu sau để giải phương trình (1):
a) Tìm điều kiện xác định của phương trình (1);
b) Quy đồng mẫu hai vế của phương trình (1), rồi khử mẫu;
c) Giải phương trình vừa tìm được;
d) Kết luận nghiệm của phương trình (1).
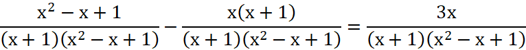
Giải chi tiết Luyện tập 3 trang 29 sgk toán 9 tập 1 kết nối tri thức với cuộc sống
Giải phương trình ![]()
3. GIẢI BÀI TẬP CUỐI SGK
Giải chi tiết bài 2.1 trang 30 sgk toán 9 tập 1 kết nối tri thức với cuộc sống
Giải các phương trình sau:
a) x(x-2)=0; b) (2x+1)(3x-2)=0.
Giải chi tiết bài 2.2 trang 30 sgk toán 9 tập 1 kết nối tri thức với cuộc sống
Giải các phương trình sau:
a)
b) ![]()
Giải chi tiết bài 2.3 trang 30 sgk toán 9 tập 1 kết nối tri thức với cuộc sống
Giải các phương trình sau:
a) ![]()
b) ![]()
Giải chi tiết bài 2.4 trang 30 sgk toán 9 tập 1 kết nối tri thức với cuộc sống
Bác An có một mảnh đất hình chữ nhật với chiều dài 14 m và chiều rộng 12 m. Bác dự định xây nhà trên mảnh đất đó và dành một phần diện tích đất để làm sân vườn như Hình 2.2. Biết diện tích đất làm nhà là 100 m2 . Hỏi x bằng bao nhiêu mét?

Giải chi tiết bài 2.5 trang 30 sgk toán 9 tập 1 kết nối tri thức với cuộc sống
Hai người cùng làm chung một công việc thì xong trong 8 giờ. Hai người cùng làm được 4 giờ thì người thứ nhất bị điều đi làm công việc khác. Người thứ hai tiếp tục làm việc trong 12 giờ nữa thì xong công việc. Gọi x là thời gian người thứ nhất làm một mình xong công việc (đơn vị tính là giờ, x > 0).
a) Hãy biểu thị theo x:
- Khối lượng công việc mà người thứ nhất làm được trong 1 giờ;
- Khối lượng công việc mà người thứ hai làm được trong 1 giờ.
b) Hãy lập phương trình theo x và giải phương trình đó. Sau đó cho biết, nếu làm một mình thì mỗi người phải làm trong bao lâu mới xong công việc đó.

