SÁCH GIÁO KHOA
A. TRẮC NGHIỆM
Giải chi tiết bài 2.21 trang 42 sgk toán 9 tập 1 kết nối tri thức với cuộc sống
Nghiệm của bất phương trình -2x + 1 < 0 là
A.
B. x >
C.
D. 
Giải chi tiết bài 2.22 trang 42 sgk toán 9 tập 1 kết nối tri thức với cuộc sống
Điều kiện xác định của phương trình
là
A. x
B.
C.
D. 
Giải chi tiết bài 2.23 trang 42 sgk toán 9 tập 1 kết nối tri thức với cuộc sống
Phương trình x – 1 = m + 4 có nghiệm lớn hơn 1 với
A.
B.
C.
D. m < -4.
Giải chi tiết bài 2.24 trang 42 sgk toán 9 tập 1 kết nối tri thức với cuộc sống
Nghiệm của bất phương trình 1 – 2x
2 – x là
A.
B.
C.
D. ![]()
Giải chi tiết bài 2.25 trang 42 sgk toán 9 tập 1 kết nối tri thức với cuộc sống
Cho a > b. Khi đó ta có:
A. 2a > 3b b. 2a > 2b + 1 C. 5a + 1 > 5b + 1 D. -3a < -3b – 3.
B. TỰ LUẬN
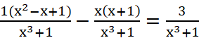
Giải chi tiết bài 2.26 trang 42 sgk toán 9 tập 1 kết nối tri thức với cuộc sống
Giải các phương trình sau:
a)
b)![]()
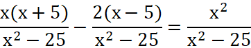
Giải chi tiết bài 2.27 trang 42 sgk toán 9 tập 1 kết nối tri thức với cuộc sống
Giải các phương trình sau:
a)
b)
Giải chi tiết bài 2.28 trang 42 sgk toán 9 tập 1 kết nối tri thức với cuộc sống
Cho a < b, hãy so sánh:
a) a + b + 5 với 2b + 5; b) -2a -3 với –(a+b) – 3.
Giải chi tiết bài 2.29 trang 42 sgk toán 9 tập 1 kết nối tri thức với cuộc sống
Giải các bất phương trình:
a)
;
b) ![]()






