Chuyển tới nội dung chính
Học và thi Online miễn phí
  • Lịch
  • THI ONLINE
    Môn Toán Lớp 6 Môn Toán Lớp 7 Môn Toán Lớp 8 Môn Toán Lớp 9
  • Toán THCS
    Môn Toán Lớp 6 Môn Toán Lớp 7 Môn Toán Lớp 8 Môn Toán Lớp 9
  • Toán nâng cao
    Nâng cao Toán 6 Nâng cao Toán 7 Nâng cao Toán 8 Nâng cao Toán 9
  • BXH
  • Xem thêm
Bạn đang truy cập với tư cách khách vãng lai
Đăng nhập
Học và thi Online miễn phí
Lịch THI ONLINE Rút gọn Mở rộng
Môn Toán Lớp 6 Môn Toán Lớp 7 Môn Toán Lớp 8 Môn Toán Lớp 9
Toán THCS Rút gọn Mở rộng
Môn Toán Lớp 6 Môn Toán Lớp 7 Môn Toán Lớp 8 Môn Toán Lớp 9
Toán nâng cao Rút gọn Mở rộng
Nâng cao Toán 6 Nâng cao Toán 7 Nâng cao Toán 8 Nâng cao Toán 9
BXH
t9knttbai7Canbachaivacanthucbachai
Mở rộng tất cả Thu gọn toàn bộ

SÁCH GIÁO KHOA

0%
  1. Trang chủ
  2. Bài 7: Căn bậc hai và căn thức bậc hai
  3. Chung
  4. SÁCH GIÁO KHOA
Các yêu cầu hoàn thành

1. CĂN BẬC HAI

Giải chi tiết Hoạt động 1 trang 45 sgk toán 9 tập 1 kết nối tri thức với cuộc sống

Tìm các số thực x sao cho x2 = 49.

Ta có nên 49 có hai căn bậc hai là 7 và -7

Giải chi tiết Luyện tập 1 trang 45 sgk toán 9 tập 1 kết nối tri thức với cuộc sống

Tìm căn bậc hai của 121

Ta có nên 121 có hai căn bậc hai là 11 và -11

Giải chi tiết Luyện tập 2 trang 45 sgk toán 9 tập 1 kết nối tri thức với cuộc sống

Sử dụng MTCT tìm căn bậc hai của (làm tròn đến chữ số thập phân thứ hai).

Bấm máy tính và làm tròn ta được kết quả: 0,80 nên căn bậc hai của là 0,80 và -0,80.

Giải chi tiết Hoạt động 2 trang 45 sgk toán 9 tập 1 kết nối tri thức với cuộc sống

Tính và so sánh trong mỗi trường hợp sau:

a) a = 3;

b) a = -3.

a) a = 3 = 3

Mà |a| = |3|=3

Vậy

b) a = -3

Mà |a| = |-3|=3

Vậy .

Giải chi tiết Luyện tập 3 trang 46 sgk toán 9 tập 1 kết nối tri thức với cuộc sống

a) Không sử dụng MTCT, tính:

b) So sánh 3 với bằng hai cách:

- Sử dụng MTCT;

- Sử dụng tính chất của căn thức bậc hai số học đã học ở lớp 7: Nếu thì

a)

b)

Cách 1: Sử dụng máy tính cầm tay được

Vậy 3 <

Cách 2: Ta có 3 =

Vì .

2. CĂN THỨC BẬC HAI

Giải chi tiết Hoạt động 3 trang 46 sgk toán 9 tập 1 kết nối tri thức với cuộc sống

Viết biểu thức tính độ dài cạnh huyền BC của tam giác vuông ABC, biết AB = 3 cm và AC = x cm.

Độ dài cạnh huyền BC: 

BC =

Giải chi tiết Hoạt động 4 trang 46 sgk toán 9 tập 1 kết nối tri thức với cuộc sống

Cho biểu thức C =

a) Tính giá trị của biểu thức tại x = 5

b) Tại x = 0 có tính được giá trị của biểu thức không? Vì sao?

a) Tại x = 5

C =

b) Tại x = 0

C =

Không thể tính giá trị biểu thức vì xác định khi A lấy giá trị không âm.

Giải chi tiết Luyện tập 4 trang 47 sgk toán 9 tập 1 kết nối tri thức với cuộc sống

Cho căn thức

a) Tìm điều kiện xác định của căn thức.

b) Tính giá trị của căn thức tại x = 2.

a) Điều kiện của căn thức: 5 – 2x

b) Tại x = 2, thay vào biểu thức ta được: .

Giải chi tiết Luyện tập 5 trang 48 sgk toán 9 tập 1 kết nối tri thức với cuộc sống

a) Rút gọn biểu thức

b) Rút gọn và tính giá trị biểu thức x +

a)

b) Ta có x +

Tại x = -2,5 ta có giá trị của biểu thức là:

-2,5 + |2.(-2,5)+1|=-2,5+4=1,5.

Giải chi tiết Vận dụng trang 48 sgk toán 9 tập 1 kết nối tri thức với cuộc sống

Trở lại tình huống mở đầu.

a) Viết công thức tính thời gian t(giây) cần thiết để vật rơi được vào khoảng S (mét).

b) Sử dụng công thức tìm được trong câu a, hãy trả lời câu hỏi trong tình huống mở đầu.

a) Từ công thức S = suy ra thời gian vật rơi được quãng đường S là:

t =

b) Thời gian vật rơi được quãng đường 122,5 mét là:

t =

Vậy sau 5 giây thì vật sẽ chạm đất nếu rơi từ độ cao 122,5 mét.

3. GIẢI BÀI TẬP CUỐI SGK 

Giải chi tiết bài 3.1 trang 48 sgk toán 9 tập 1 kết nối tri thức với cuộc sống

Tìm căn bậc hai của mỗi số sau (làm tròn đến chữ số thập phân thứ hai):

a) 24,5;

b)

a) Ta có nên căn bậc hai của 24,5 (làm tròn đến chữ số thập phân thứ hai) là 4,95 và -4,95.

b) Ta có nên căn bậc hai của (làm tròn đến chữ số thập phân thứ hai) là 0,95 và -0,95

Giải chi tiết bài 3.2 trang 48 sgk toán 9 tập 1 kết nối tri thức với cuộc sống

Để chuẩn bị trồng cây trên vỉa hè, người ta để lại những ô đất hình tròn có diện tích khoảng 2 m2. Em hãy ước lượng (với độ chính xác là 0,005) đường kính của các ô đất đó khoảng bao nhiêu mét?

Diện tích ô đất:

Bán kính của ô đất là R =

Độ chính xác là 0,005 là làm tròn đến hàng phần trăm tức là 

R = nên R

Giải chi tiết bài 3.3 trang 48 sgk toán 9 tập 1 kết nối tri thức với cuộc sống

Tìm điều kiện xác định của và tính giá trị của căn thức tại x = -1.

Điều kiện xác định của là x +

Thay x = -1 vào căn thức ta được

Giải chi tiết bài 3.4 trang 48 sgk toán 9 tập 1 kết nối tri thức với cuộc sống

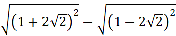
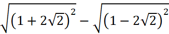
Tính

Ta có:

;

Giải chi tiết bài 3.5 trang 48 sgk toán 9 tập 1 kết nối tri thức với cuộc sống

a)

c)

a)

b) 3

c)

Giải chi tiết bài 3.6 trang 48 sgk toán 9 tập 1 kết nối tri thức với cuộc sống

Không dùng MTCT, chứng tỏ biểu thức A có giá trị là số nguyên:

A =

A =

=

Bài học này chưa được mở.
Previous activity
Next activity
External links
  • Link a
  • Link b
  • Link c
External links
  • Link a
  • Link b
  • Link c
Bạn đang truy cập với tư cách khách vãng lai (Đăng nhập)
Được cung cấp bởi Moodle