SÁCH GIÁO KHOA
1. KHAI CĂN BẬC HAI VÀ PHÉP NHÂN
Giải chi tiết Hoạt động 1 trang 49 sgk toán 9 tập 1 kết nối tri thức với cuộc sống
Tính và so sánh: ![]()
Giải chi tiết Luyện tập 1 trang 49 sgk toán 9 tập 1 kết nối tri thức với cuộc sống
a) Tính
b) Rút gọn ![]()
Giải chi tiết Luyện tập 2 trang 50 sgk toán 9 tập 1 kết nối tri thức với cuộc sống
a) Tính nhanh ![]()
b) Phân tích thành nhân tử:
(với ![]()
2. KHAI CĂN BẬC HAI VÀ PHÉP CHIA
Giải chi tiết Hoạt động 2 trang 50 sgk toán 9 tập 1 kết nối tri thức với cuộc sống
Tính và so sánh: ![]()
Giải chi tiết Luyện tập 3 trang 50 sgk toán 9 tập 1 kết nối tri thức với cuộc sống
a) Tính
b) Rút gọn ![]()
Giải chi tiết Luyện tập 4 trang 51 sgk toán 9 tập 1 kết nối tri thức với cuộc sống
a) Tính
b) Rút gọn (
![]()
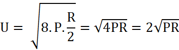
Giải chi tiết Vận dụng trang 51 sgk toán 9 tập 1 kết nối tri thức với cuộc sống
Công suất P(W), hiệu điện thế U(V), điện trở R(
trong đoạn mạch một chiều liên hệ với nhau theo công thức U =
NẾu công suất tăng gấp 8 lần, điện trở giảm 2 lần thì tỉ số giữa hiệu điện thế lúc đó và hiệu điện thế ban đầu bằng bao nhiêu?
Giải chi tiết Tranh luận trang 51 sgk toán 9 tập 1 kết nối tri thức với cuộc sống
Vì ![]()
Theo em, cách làm của Vuông có đúng không? Vì sao?
3. GIẢI CHI TIẾT BÀI TẬP CUỐI SGK
Giải chi tiết bài 3.7 trang 51 sgk toán 9 tập 1 kết nối tri thức với cuộc sống
Tính:
a)
b)
c) ![]()
Giải chi tiết bài 3.8 trang 51 sgk toán 9 tập 1 kết nối tri thức với cuộc sống
Rút gọn biểu thức ![]()
Giải chi tiết bài 3.9 trang 51 sgk toán 9 tập 1 kết nối tri thức với cuộc sống
Tính:
a)
b)
c)
.
Giải chi tiết bài 3.10 trang 51 sgk toán 9 tập 1 kết nối tri thức với cuộc sống
Rút gọn ![]()
Giải chi tiết bài 3.11 trang 51 sgk toán 9 tập 1 kết nối tri thức với cuộc sống
Kích thước màn hình ti vi hình chữ nhật được xác định bởi độ dài đường chéo. Một loại ti vi có tỉ lệ hai cạnh màn hình là 4:3.
a) Gọi x (inch) là chiều rộng của màn hình tivi. Viết công thức tính độ dài đường chéo d (inch) của màn hình ti vi theo x.
b) Tính chiều rộng và chiều dài (theo centimet) của màn hình ti vi loại 40 inch.




