Chuyển tới nội dung chính
Học và thi Online miễn phí
  • Lịch
  • THI ONLINE
    Môn Toán Lớp 6 Môn Toán Lớp 7 Môn Toán Lớp 8 Môn Toán Lớp 9
  • Toán THCS
    Môn Toán Lớp 6 Môn Toán Lớp 7 Môn Toán Lớp 8 Môn Toán Lớp 9
  • Toán nâng cao
    Nâng cao Toán 6 Nâng cao Toán 7 Nâng cao Toán 8 Nâng cao Toán 9
  • BXH
  • Xem thêm
Bạn đang truy cập với tư cách khách vãng lai
Đăng nhập
Học và thi Online miễn phí
Lịch THI ONLINE Rút gọn Mở rộng
Môn Toán Lớp 6 Môn Toán Lớp 7 Môn Toán Lớp 8 Môn Toán Lớp 9
Toán THCS Rút gọn Mở rộng
Môn Toán Lớp 6 Môn Toán Lớp 7 Môn Toán Lớp 8 Môn Toán Lớp 9
Toán nâng cao Rút gọn Mở rộng
Nâng cao Toán 6 Nâng cao Toán 7 Nâng cao Toán 8 Nâng cao Toán 9
BXH
t9knttchuong3Luyentapchung(2)
Mở rộng tất cả Thu gọn toàn bộ

SÁCH GIÁO KHOA

0%
  1. Trang chủ
  2. Giải Toán 9 Kết nối chương 3 Luyện tập chung (2)
  3. Chung
  4. SÁCH GIÁO KHOA
Các yêu cầu hoàn thành

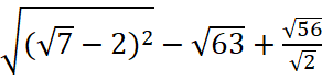
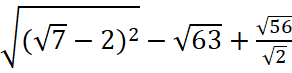
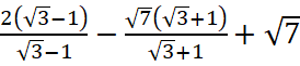
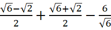
Giải chi tiết bài 3.28 trang 64 sgk toán 9 tập 1 kết nối tri thức với cuộc sống

Rút gọn các biểu thức sau:

a)

b)

c)

d)

a)

=

=

=

=5

b)

=

=

=

=-2

c)

=

=

=

d)

=

=

=

Giải chi tiết bài 3.29 trang 64 sgk toán 9 tập 1 kết nối tri thức với cuộc sống

Tính giá trị của các biểu thức sau:

a)3

b)

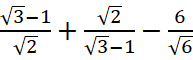
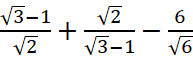
c)

d)

a)3

=9

=0

b)

=

=2-

=2

c)

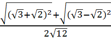
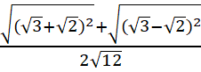
=

=-

=6

d)

=

=

=

Giải chi tiết bài 3.30 trang 64 sgk toán 9 tập 1 kết nối tri thức với cuộc sống

Giả sử lực F của gió khi thổi theo phương vuông góc với bề mặt cánh buồm của một con thuyền tỉ lệ thuận với bình phương tốc độ của gió, hệ số tỉ lệ là 30. Trong đó, lực F được tính bằng N(Newton) và tốc độ được tính bằng m/s.

a) Khi tốc độ của gió là 10m/s thì lực F là bao nhiêu Newton?

b) Nếu cánh buồm chỉ có thể chịu được một áp lực tối đa là 12 000N thì con thuyền đó có thể đi được trong gió với tốc độ gió tối đa là bao nhiêu?

Gọi tốc độ của gió là v(m/s)

Lực F của gió khi thổi theo phương vuông góc với bề mặt cánh buồm của một con thuyền tỉ lệ thuận với bình phương tốc độ của gió, hệ số tỉ lệ là 30.

=> F=30

a) Khi tốc độ của gió là 10m/s=>v=10m/s

<=> F=30.=3000N

b)Ta có 12 000=30

=> v=20

Vậy nếu cánh buồm chỉ có thể chịu được một áp lực tối đa là 12 000N thì con thuyền đó có thể đi được trong gió với tốc độ gió tối đa là 20m/s

Giải chi tiết bài 3.31 trang 64 sgk toán 9 tập 1 kết nối tri thức với cuộc sống

Rút gọn các biểu thức sau:

a)

b)

a)

=-x-1

b)

=

=-2x-1

Bài học này chưa được mở.
Previous activity
External links
  • Link a
  • Link b
  • Link c
External links
  • Link a
  • Link b
  • Link c
Bạn đang truy cập với tư cách khách vãng lai (Đăng nhập)
Được cung cấp bởi Moodle