SÁCH BÀI TẬP
A. CÂU HỎI (TRẮC NGHIỆM)
Tìm câu trả lời đúng trong các đáp án đã cho:
1. Số \(\frac{1}{7}\) là:
A. Số tự nhiên;
B. Số nguyên;
C. Số hữu tỉ dương;
D. Số hữu tỉ.
2. Kết quả của phép nhân \(4^{3}\). \(4^{9}\)
![]()
3. Số hữu tỉ \(\frac{a}{b}\) với a,b∈ℤ,b≠0">a, b∈Z, b≠0a, b∈ℤ, b≠0 là
A. a, b cùng dấu;
B. a, b khác dấu;
C. a = 0, b dương;
D. a, b là hai số tự nhiên.
4. Khẳng định nào sau đây là sai?
A. Mỗi số hữu tỉ đều được biểu diễn bởi một điểm trên trục số;
B. Trên trục số, số hữu tỉ âm nằm bên trái điểm biểu diễn số 0;
C. Trên trục số, số hữu tỉ dương nằm bên phải điểm biểu diễn số 0;
D. Hai số hữu tỉ không phải luôn so sánh được với nhau.
5. Khẳng định nào sau đây là đúng?
A. Mọi số nguyên đều là số tự nhiên;
B. Mọi số hữu tỉ đều là số nguyên;
C. Mọi số nguyên đều là số hữu tỉ;
D. Mọi phân số đều là số nguyên.
B. BÀI TẬP
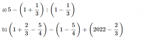
1.32. Tính

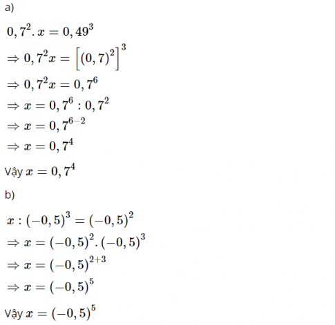
1.33. Tìm x, biết:
a) \(0.7^{2}\) . X = \(0.49^{3}\)
b) X : \((-0.5)^{3}\) = \(\)(-0.5)^{2}\(\)
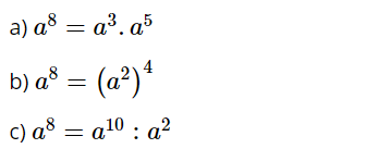
1.34. Cho a∈ℚ">a∈Qa∈ℚ và a ≠0. Hãy viết \(a^{8}\) dưới dạng:
a) Tích của hai lũy thừa, trong đó có một thừa số là \(a^{3}\);
b) Lũy thừa của \(a^{2}\);
c) Thương của hai lũy thừa trong đó số bị chia là \(a^{10}\)
1.35. Bảng sau cho chúng ta đường kính xấp xỉ của một số hàn tinh.

Hỏi đường kính của hành tinh nào lớn nhất? Đường kính của hành tính nào nhỏ nhất?
1.36. Để làm 24 cái bánh, cần \(1\tfrac{3}{4}\) cốc bột mì. Bạn An muốn làm 8 cái bánh. Hỏi bạn An cần bao nhiêu cốc bột mì?
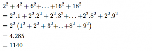
1.37. Biết:
Tính một cách hợp lí giá trị của biểu thức:

1.38. Tính giá trị của biểu thức:





