SÁCH BÀI TẬP
2.1. Trong các phân số sau, phân số nào viết được dưới dạng số thập phân vô hạn tuần hoàn? Vì sao?
\(\frac{21}{60}\); \(\frac{-8}{125}\); \(\frac{28}{-63}\); \(\frac{37}{800}\)
2.2. Viết số thập phân 2,75 dưới dạng phân số tối giản.
2.3. Nối mỗi phân số ở cột bên trái với cách viết thập phân của nói ở cột bên phải:

2.4. Trong các phân số: \(\frac{13}{15}\); \(\frac{13}{4}\); \(\frac{-1}{18}\); \(\frac{11}{6}\); \(\frac{7}{20}\); \(\frac{-19}{50}\), gọi A là tập hợp các phân số được viết thành số thập phân hữu hạn và B là tập hợp các phân số viết được thành số thập phân vô hạn tuần hoàn. Liệt kê và viết các phần tử của hai tập hợp theo thứ tự từ nhỏ đến lớn.
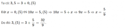
2.5. Viết số thập phân 3,(5) dưới dạng phân số.
2.6. Chữ số thứ 105 sau dấu phẩy của phân số \(\frac{1}{7}\) (viết dưới dạng số thập phân) là chữ số nào?
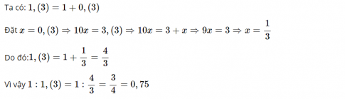
2.7. Kết quả của phép tính 1 : 1(3) bằng:
A. 0,(75);
B. 0,3;
C. 0,(3);
D. 0,75.
Hãy chọn câu trả lời đúng.
2.8. Cho hai số a = 2,4798; b = 3,(8).
a) Gọi a’ và b’ lần lượt là kết quả làm tròn số a đến hàng phần mười và làm tròn số b với độ chính xác 0,5. Tính a’; b’ và so sánh a’ với a; b’ với b.
b) Sử dụng kết quả câu a) để giải thích kết luận sau đấy đúng:
2,4798 . 3,(8) = 10,2(3).
2.9. Cho a = 25,4142135623730950488… là số thập phân có phần nguyên bằng 25 và phần thập phân trùng với phần thập phân của số \(\sqrt{2}\).Số này có là số thập phân vô hạn tuần hoàn hay không? Vì sao?






