SÁCH BÀI TẬP
2.10. Những số nào sau đây có căn bậc hai số học?
0,9; -4; 11; -100; \(\frac{4}{5}\)45;π">; π45; π.
2.11. Điền kí hiệu (∈, ∉) thích hợp vào ô vuông:

2.12. Những biểu thức nào dưới đây có giá trị bằng \(\frac{3}{7}\)?

2.13. Số nào trong các số: \(\frac{-16}{3}\); \(\sqrt{36}\); \(\sqrt{47}\); −2π; \(\sqrt{0.01}\);2+ \(\sqrt{7}\) là số vô tỉ?
2.14. Số nào trong các số sau là số vô tỉ?
a = 0,777…; b = 0,70700700070000…; c = \(\frac{-1}{7}\); d= \(\sqrt{(-7)^{2}}\)
2.15. Tìm căn bậc hai số học của các số sau: 81; 8 100; 0,81; \(81^{2}\)
2.16.

2.17. Xét số a = 1 + 2">√22.
a) Làm tròn số a đến hàng phần trăm;
b) Làm tròn số a đến chữ số thập phân thứ năm;
c) Làm tròn số a với độ chính xác 0,0005.
2.18. Biểu thức
\(\sqrt{x+8}\)+7 có giá trị nhỏ nhất bằng:
A. \(\sqrt {x+8}\)
B. – 7;
C. 0;
D. \(\sqrt {-8}\) -7
2.19. Giá trị lớn nhất của biểu thức : 3- \sqrt{x-6} bằng:

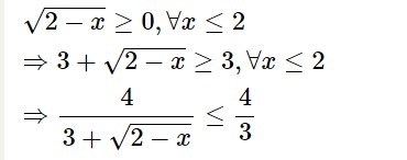
2.20. Tìm giá trị lớn nhất của biểu thức: \(\frac{4}{3+\sqrt{2-x}}\)
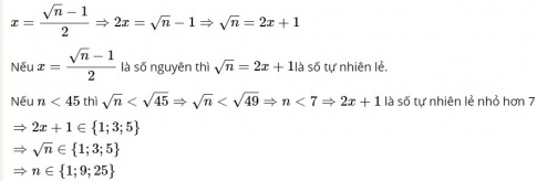
2.21. Tìm số tự nhiên n nhỏ hơn 45 sao cho x= \frac{\sqrt{n}-1}{2} là số nguyên.








