SÁCH BÀI TẬP
CHƯƠNG 1: PHƯƠNG TRÌNH VÀ HỆ HAI PHƯƠNG TRÌNH BẬC NHẤT HAI ẨN
BÀI 2 – GIẢI HỆ HAI PHƯƠNG TRÌNH BẬC NHẤT HAI ẨN
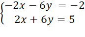
Bài 1.9: Giải các hệ phương trình sau bằng phương pháp thế::
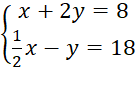
a) 
b) 
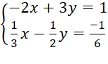
c) 
Bài giải chi tiết:
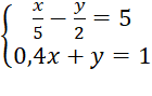
a) Từ phương trình x + 2y = 8, ta có x = 8 – 2y.
Thế vào phương trình
ta được:

4 – y – y = 18
4 – 2y = 18
2y = –14
y = 7
Từ đó ta được x = 8 – 2 . (–7) = 22.
Vậy nghiệm của hệ phương trình là (22; –7).
b) Từ phương trình 0,2x + 0,5y = 0,7, ta có x =
= 3,5 – 2,5y
Thế vào phương trình 4x + 10y = 9 ta được:
4x + 10y = 9
4 . (3,5 – 2,5y) + 10y = 9
14 + 0.y = 9 (vô nghiệm)
Vậy hệ phương trình đã cho vô nghiệm.
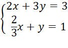
c) Từ phương trình –2x + 3y = 1, ta có x =
=
y - ![]()
Thế vào phương trình
-
= -
ta được:
0y −
= −
(vô số nghiệm)
Xét phương trình –2x + 3y = 1, ta được y =
=
+ ![]()
Vậy hệ phương trình đã cho có nghiệm (x;
+
với x ∈ R tùy ý.
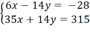
Bài 1.10: Giải các hệ phương trình sau bằng phương pháp cộng đại số:
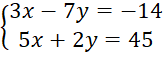
a) 
b) 
c) 
Bài giải chi tiết:
a) Nhân hai vế của phương trình thứ nhất với 2 và phương trình thứ hai với 7, ta được:
Cộng từng vế của hai phương trình trên, ta được:
41x = 287 hay x = ![]()
Thay vào phương trình thứ nhất, ta được:
6 . 7 – 14y = –28 hay 42 – 14y = –28, suy ra y =
= 5
Vậy nghiệm của hệ phương trình là (7; 5).
b) Nhân hai vế của phương trình thứ nhất với –2, ta được:
Cộng từng vế của hai phương trình trên, ta được:
0x + 0y = –12 (vô nghiệm)
Vậy hệ phương trình đã cho vô nghiệm.
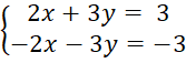
c) Nhân hai vế của phương trình thứ hai với –3, ta được:

Cộng từng vế của hai phương trình trên, ta được:
0x + 0y = 0 (vô số nghiệm)
Xét phương trình 2x + 3y = 3, ta có y =
= 1 -
Vậy hệ phương trình đã cho có nghiệm (x; 1 -
) với x ∈ R tùy ý
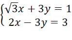
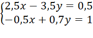
Bài 1.11: Sử dụng MTCT, tìm nghiệm của các hệ phương trình sau:
a) 
b) 
c) 
Bài giải chi tiết:
a) Hệ phương trình đã cho có nghiệm là (
b) Hệ phương trình đã cho vô nghiệm
c) Hệ phương trình đã cho vô nghiệm.
Bài 1.12: Tìm a và b để đường thẳng y = ax + b đi qua hai điểm (4; 1) và (–4; –3).
Bài giải chi tiết:
Vì đường thẳng y = ax + b đi qua hai điểm (4; 1) và (–4; –3) nên ta lập được hệ phương trình bậc nhất hai ẩn như sau:

Cộng từng vế của hai phương trình trên, ta được:
2b = –2 hay b =
= −1
Thay b = –1 vào phương trình thứ nhất, ta được:
4a – 1 = 1 hay a =
= ![]()
Vậy với a =
và b = –1 thì đường thẳng y = ax + b đi qua hai điểm (4; 1) và (–4; –3).
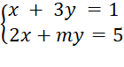
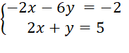
Bài 1.13: Cho hệ phương trình 
a) Giải hệ với m = 1.
b) Chứng tỏ rằng hệ đã cho vô nghiệm khi m = 6.
Bài giải chi tiết:
a) Với m = 1, ta có: 
Nhân hai vế của phương trình thứ nhất với –2, ta được:
Cộng từng vế của hai phương trình trên, ta được:
–5y = 3 hay y = ![]()
Thay vào phương trình thứ nhất, ta được:
x + 3.(
) = 1 hay x −
= 1, suy ra x = 1+
= ![]()
Vậy hệ phương trình đã cho có nghiệm là (
;
) với m = 1.
b) Với m = 6, ta có: 
Nhân hai vế của phương trình thứ nhất với –2, ta được: 
Cộng từng vế của hai phương trình trên, ta được:
0x + 0y = 3 (vô nghiệm).
Vậy hệ phương trình đã cho vô nghiệm khi m = 6.
Bài 1.14: Trong kinh tế học, đường IS là một phương trình bậc nhất biểu diễn tất cả các kết hợp thu nhập Y và lãi suất r để duy trì trạng thái cân bằng của thị trường hàng hoá trong nền kinh tế. Đường LM là một phương trình bậc nhất biểu diễn tất cả các kết hợp giữa thu nhập Y và lãi suất r duy trì trạng thái cân bằng của thị trường tiền tệ trong nền kinh tế. Trong một nền kinh tế, giả sử mức thu nhập cân bằng Y (tính bằng triệu đô la) và lãi suất cân bằng r thoả mãn hệ phương trình:

Tìm mức thu nhập và lãi suất cân bằng.
Bài giải chi tiết:
Ta có hệ phương trình: 
Trừ từng vế của phương trình thứ hai cho phương trình thứ nhất của hệ, ta được:
11 000r = 660 hay r =
= 0,06
Thay vào phương trình thứ nhất, ta được:
0,06Y – 5 000 . 0,06 = 240 hay 0,06Y – 300 = 240.
Suy ra Y =
= 9000
Vậy mức thu nhập cân bằng là 9 000 tiệu đô la và lãi suất cân bằng là 0,06.
Bài 1.15: Phương trình cung và phương trình cầu của một loại thiết bị kĩ thuật số cá nhân mới là:
Phương trình cầu: p = 150 – 0,00001x;
Phương trình cung: p = 60 + 0,00002x;
trong đó p là giá mỗi đơn vị sản phẩm (tính bằng đô la) và x là số lượng đơn vị sản phẩm. Tìm điểm cân bằng của thị trường này, tức là điểm (p; x) thoả mãn cả hai phương trình cung và cầu.
Bài giải chi tiết:
Ta có hệ phương trình:

Trừ từng vế của phương trình thứ nhất cho phương trình thứ hai, ta được:
0 = 90 – 0,00003x hay x =
= 3 000 0000
Thay vào phương trình thứ nhất, ta được:
p = 150 – 0,00001 . 3 000 000 = 120.
Vậy điểm cân bằng của thị trường này là (120; 3 000 000).
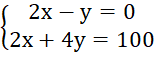
Bài 1.16: Thầy Nam dạy Toán đang thiết kế một bài kiểm tra trắc nghiệm gồm hai loại câu hỏi, câu hỏi đúng/sai và câu hỏi nhiều lựa chọn. Bài kiểm tra sẽ được tính trên thang điểm 100, trong đó mỗi câu hỏi đúng/sai có giá trị 2 điểm và mỗi câu hỏi nhiều lựa chọn có giá trị 4 điểm. Thầy Nam muốn số câu hỏi nhiều lựa chọn gấp đôi số câu hỏi đúng/sai.
a) Gọi số câu hỏi đúng/sai là x, số câu hỏi nhiều lựa chọn là y (x, y ∈ ℕ*). Viết hệ hai phương trình biểu thị số lượng của từng loại câu hỏi.
b) Giải hệ phương trình trong câu a để biết số lượng câu hỏi mỗi loại trong bài kiểm tra là bao nhiêu.
Bài giải chi tiết:
Số câu hỏi nhiều lựa chọn gấp đôi số câu hỏi đúng/sai nên y = 2x hay 2x – y = 0.
Tổng điểm bài kiểm tra là 2x + 4y = 100.
Từ đó ta lập được hệ phương trình:

b) Trừ từng vế phương trình thứ nhất cho phương trình thứ hai, ta được:
–5y = – 100 hay y =
= 20
Thay vào phương trình thứ nhất, ta được:
2x – 20 = 0 hay x = 10.
Vậy bài kiểm tra có 10 câu hỏi đúng/sai và 20 câu hỏi nhiều lựa chọn.