SÁCH BÀI TẬP
CHƯƠNG 2 – PHƯƠNG TRÌNH VÀ BẤT PHƯƠNG TRÌNH BẬC NHẤT MỘT ẨN
BÀI 4 – PHƯƠNG TRÌNH QUY VỀ PHƯƠNG TRÌNH BẬC NHẤT MỘT ẨN
Bài 2.1: Giải các phương trình sau:
a) (x + 2)2 – (2x + 1)(x + 2) = 0;
b) 16x2 – (3x + 2)2 = 0.
Bài giải chi tiết:
a) (x + 2)2 – (2x + 1)(x + 2) = 0
(x + 2)[(x+2) – (2x + 1)] = 0
(x + 2)(1 – x) = 0
x + 2 = 0 hoặc 1 – x = 0.
⦁ Với x + 2 = 0 suy ra x = 0 – 2 = –2.
⦁ Với 1 – x = 0 suy ra x = 1 – 0 = 1.
Vậy phương trình có hai nghiệm là x = –2 và x = 1.
b) 16x2 – (3x + 2)2 = 0
(4x)2 – (3x + 2)2 = 0
[4x – (3x + 2)][4x + (3x + 2)] = 0
(x – 2)(7x + 2) = 0
x – 2 = 0 hoặc 7x + 2 = 0.
⦁ Với x – 2 = 0 suy ra x = 0 + 2 = 2.
⦁ Với 7x + 2 = 0 suy ra x = ![]()
Vậy phương trình có hai nghiệm là x = 2 và x = −27-27.
Bài 2.2: Giải các phương trình sau:
a) x3 + 3x2 – 8 = x3 + 2x2 – 7
b) x(2x – 5) = (2x + 1)(5 – 2x).
Bài giải chi tiết:
a) x3 + 3x2 – 8 = x3 + 2x2 – 7
(x3 + 3x2 – 8) – (x3 + 2x2 – 7) = 0
x2 – 1 = 0
(x – 1)(x + 1) = 0
x – 1 = 0 hoặc x + 1 = 0.
⦁ Với x – 1 = 0 suy ra x = 0 + 1 = 1.
⦁ Với x + 1 = 0 suy ra x = 0 – 1 = –1.
Vậy phương trình có hai nghiệm là x = 1 và x = –1.
b) x(2x – 5) = (2x + 1)(5 – 2x)
x(2x – 5) – (2x + 1)(5 – 2x) = 0
x(2x – 5) + (2x + 1)(2x – 5) = 0
(2x – 5)[x + (2x + 1)] = 0
(2x – 5)(3x + 1) = 0
2x – 5 = 0 hoặc 3x + 1 = 0.
⦁ Với 2x – 5 = 0 suy ra x = ![]()
⦁ Với 3x +1 = 0 suy ra x = ![]()
Vậy phương trình có hai nghiệm là x =
và x = ![]()
Bài 2.3: Giải các phương trình sau:
a) x2 + x = –6x – 6;
b) 2x2 – 2x = x – 1.
Bài giải chi tiết:
a) x2 + x = –6x – 6;x2 + x – (–6x – 6) = 0
x2 + x + (6x + 6) = 0
x(x + 1) + 6(x + 1) =0
(x + 6)(x + 1) = 0
x + 6 = 0 hoặc x + 1 = 0.
⦁ Với x + 6 = 0 suy ra x = –6.
⦁ Với x + 1 = 0 suy ra x = –1.
Vậy phương trình có hai nghiệm là x = –6 và x = –1.
b) 2x2 – 2x = x – 1
2x(x – 1) = x – 1
2x(x – 1) – (x – 1) = 0
(2x – 1)(x – 1) = 0
2x – 1 = 0 hoặc x – 1 = 0.
⦁ Với 2x – 1 = 0 suy ra x = ![]()
⦁ Với x – 1 = 0 suy ra x = 1.
Vậy phương trình có hai nghiệm là x =
và x = 1.
Bài 2.4: Giải các phương trình sau:
a)
-
= 0
b)
-
= 0
Bài giải chi tiết:
a)
-
= 0
ĐKXĐ: 3x + 2 ≠ 0 và 3x ≠ 0 hay x ≠
và x ≠ 0.
Quy đồng mẫu số ta được:
-
= 0
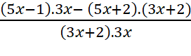
= 0
(5x – 1).3x – (5x + 2)(3x + 2) = 0
15x2 – 3x – 15x2 – 6x – 10x – 4 = 0
–19x – 4 = 0
x = ![]()
Vậy nghiệm của phương trình là x = ![]()
b)
-
= 0
ĐKXĐ: 2x – 1 ≠ 0 và 3x – 1 ≠ 0 hay x ≠
và x ≠ ![]()
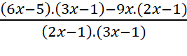
Quy đồng mẫu số ta được:
= 0
(6x – 5)(3x – 1) – 9x(2x – 1) = 0
(18x2 – 21x + 5) – (18x2 – 9x) = 0
–12x + 5 = 0
X = ![]()
Vậy phương trình có nghiệm là x = ![]()
Bài 2.5: Giải các phương trình sau:
a)
+
= 
b)
+
= 
Bài giải chi tiết:
a)
+
= 
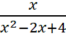
ĐKXĐ: x + 2 ≠ 0 hay x ≠ –2.
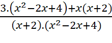
Quy đồng mẫu số ta được:
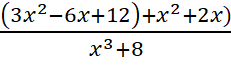
= 
= 
= (3
- 6x+12) +
+ 2x = 4![]()
= 4x2 – 4x + 12 = 4x2
= –4x + 12 = 0 => x = 3
Vậy phương trình có nghiệm x = 3.
b)
+
= 
ĐKXĐ: 2x + 1 ≠ 0 và 3x + 2 hay x≠
và x ≠
Quy đồng mẫu số ta được:
= 
3(3x + 2) + 7(2x + 1) = 21x + 10
9x + 6 + 14x + 7 – (21x + 10) = 0
2x + 3 = 0
X =
Vậy phương trình có nghiệm x =
Bài 2.6: Một vật rơi tự do từ độ cao so với mặt đất là 120 mét. Bỏ qua sức cản không khí, quãng đường chuyển động s (mét) của vật rơi tự do sau thời gian t được biểu diễn gần đúng bởi công thức s = 4,9t2, trong đó t là thời gian tính bằng giây. Sau bao nhiêu giây kể từ khi bắt đầu rơi thì vật này chạm mặt đất (làm tròn kết quả đến chữ số hàng đơn vị)?

Bài giải chi tiết:
Thời gian t (giây) (x > 0) để vậy chạm đấy là nghiệm của phương trình:
4,9t2 = 120
t2 = 120 : 4,9
t2 ≈ 24,49
t ≈ 5 (giây).
Vậy sau 5 giây kể từ khi bắt đầu rơi thì vật này chạm mặt đất.