SÁCH BÀI TẬP
CHƯƠNG 3 – CĂN BẬC HAI VÀ CĂN BẬC BA
BÀI 8 – KHAI CĂN BẬC HAI VỚI PHÉP NHÂN VÀ PHÉP CHIA
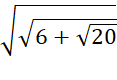
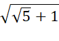
Bài 3.8: So sánh:
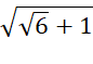
a)
.
và
.
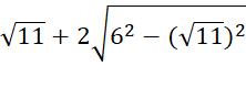
b)
và 7.
Bài giải chi tiết:
Ta có:
.
=
< 
Vậy
.
<
.
Ta có:
=
=
<
= 7
Vậy
<7
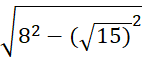
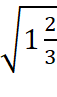
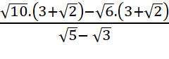
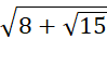
Bài 3.9: Không dùng MTCT, tính giá trị của các biểu thức sau:
a)
: ![]()
b)
. 
Bài giải chi tiết:
: 
=
:
= 
=
=
= 5
b)
. 
=
= 
=
= 
= 7 . 10 = 70.
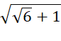
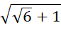
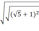
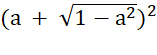
Bài 3.10: Không dùng MTCT, chứng minh rằng các biểu thức sau có giá trị là số nguyên:
a)
. 
b) 
Bài giải chi tiết:
a)
. 
= 
=
=
=
= 7
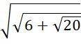
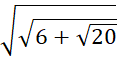
b) 
=
+
+ 2
).
).
= 6 -
+ 6 +
= 12 + 2
= 12 + 2![]()
= 12 + 2 . 5 = 22.
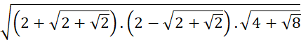
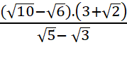
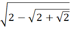
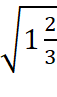
Bài 3.11: Không dùng MTCT, hãy tính giá trị của biểu thức sau:
P =
.
. 
Bài giải chi tiết:
P =
.
. 
= 
= 
=
= 
=
= 2
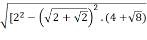
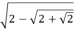
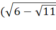
Bài 3.12: Rút gọn biểu thức P = 
Bài giải chi tiết:
P = 
=
= 
=
= 
=
= 
=
(3+
) = 2 + 3![]()
Vậy P = 2 + 3![]()
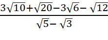
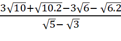
Bài 3.13: So sánh:
và 
Bài giải chi tiết:
Ta có: 
=
= 
=
=
=
< 
Vậy
< 
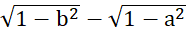
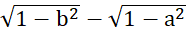
Bài 3.14: Cho a, b là hai số dương khác nhau thoả mãn điều kiện a – b =
. Chứng minh rằng a2 + b2 = 1
Bài giải chi tiết:
Ta có:
a– b = 
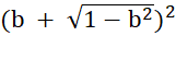
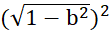
a +
= b + 
= 
+ 2a
+
=
+ 2b
+ 
+ 2a
+
=
+ 2b
+
2a
= 2b
a
= b
(1 -
) =
(1 -
)
-
=
-![]()
(
-
). (
+
) - (
-
) = 0
(
-
). (
+
).
Theo đề bài, a và b là hai số khác nhau nên a2 –b2 ≠ 0, nên để (
-
). (
+
) = 0 thì a2 + b2 - 1 = 0 hay a2 + b2 = 1. (đpcm)