SÁCH BÀI TẬP
CHƯƠNG 3 – CĂN BẬC HAI VÀ CĂN BẬC BA
BÀI 9 – BIẾN ĐỔI ĐƠN GIẢN VÀ RÚT GỌN BIỂU THỨC CHỨA CĂN THỨC BẬC HAI
Bài 3.15: Tính giá trị biểu thức P = 
Bài giải chi tiết:
P = 
P = 
P = 
P = 
P =
= 80
Vậy P = 80.
Bài 3.16: Sắp xếp các số sau theo thứ tự tăng dần: 9
; 8
; 5
; 4![]()
Bài giải chi tiết:
Ta có:
9
=
= 
8
=
= 
5
= 
4
=
= 
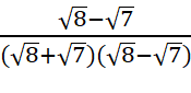
Bài 3.17: Thực hiện phép tính:

Bài giải chi tiết:

= (
+
- 
=
= 112
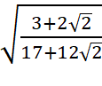
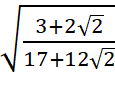
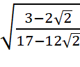
Bài 3.18: Thực hiện phép tính:
- 
Bài giải chi tiết:
- 
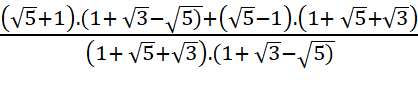
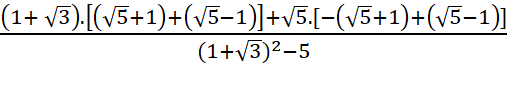
Bài 3.19: Không sử dụng MTCT, chứng minh rằng biểu thức sau có giá trị là một số nguyên:
P = (
+
).(
-
+ 2).
Bài giải chi tiết:
Ta có:
+
= 
= 
= 
=
=
= 
-
+ 2 =
= 
Do đó: P =
.
.
= 2
= 2
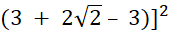
Bài 3.20:
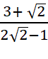
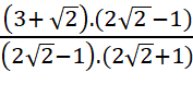
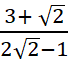
a) Trục căn ở mẫu của biểu thức: 
b) Tính giá trị biểu thức P = x(
- 6
+1) tại x = 
Bài giải chi tiết:
a)
= 
=
=
=
+ 1
b) P = x(
- 6
+1) tại x = 
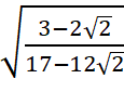
Theo câu a, ta có: x =
=
+ 1
Khi đó ta có:
=
= 3 + 2![]()
P = x(
- 6
+1) = x(
– 2.3
+ 9 -8)
P = x
– 8] = (
+ 1).[
- 8]
= (
+ 1).[(
] = 0
Vậy với x =
thì P = 0